A method of encoding and reading numbers incorporates some of the features of conventional optical bar coding and radio-frequency identification (RFID) tagging, but overcomes some of the disadvantages of both: (1) Unlike in conventional optical bar coding, numbers can be read without having a line of sight to a tag; and (2) the tag circuitry is simpler than the circuitry used in conventional RFID.
The method is based largely on the principles described in “Magnetic-Field-Response Measurement-Acquisition System” (LAR-16908), NASA Tech Briefs, Vol. 30, No. 6 (June 2006) page 28. To recapitulate: A noncontact system includes a monitoring unit that acquires measurements from sensors at distances of the order of several meters. Each sensor is a passive radio-frequency (RF) resonant circuit in the form of one or more inductor(s) and capacitor(s). The monitoring unit — a hand-held unit denoted a magnetic field response recorder (MFRR) — generates an RF magnetic field that excites oscillations in the resonant circuits resulting in the sensors responding with their own radiated magnetic field. The resonance frequency of each sensor is made to differ significantly from that of the other sensors to facilitate distinction among the responses of different sensors. The MFRR measures selected aspects of the sensor responses: in a typical application, the sensors are designed so that their resonance frequencies vary somewhat with the sensed physical quantities and, accordingly, the MFRR measures the resonance frequencies and variations thereof as indications of those quantities.
In the present method, the resonance circuits are not used as sensors. Instead, the circuits are made to resonate at fixed frequencies that correspond to digits to be encoded. The number-encoding scheme is best explained by means of examples in which each resonant circuit consists of a spiral trace inductor electrically connected to a set of parallel-connected capacitors in the form of interdigitated electrode pairs (see figure). The inductor and capacitor(s) in each resonant circuit can be fabricated as a patterned thin metal film by means of established metal-deposition and -patterning techniques. The capacitance and, hence, the resonance frequency, depends on the number of interdigitated electrodes connected to the inductor. In a similar manner, sets of electrodes could be used.
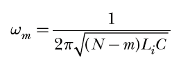
Initially, in each resonant circuit as fabricated, the number (N) of interdigitated electrode pairs equals the base (e.g., 10) of the number system of the digit to be represented by that circuit. N electrode pairs represent the digit 0 with the corresponding resonance frequency having the lowest assigned value. To encode a given nonzero digit (m), one punches a hole or makes a cut in the electrode pattern so as to disconnect m of the electrode pairs (or, sets of electrode pairs) from the inductor, reducing the capacitance and thereby increasing the resonance frequency to a value assigned to represent the digit m. The resulting frequency, ωm, becomes (the capacitance for each electrode pair or set of electrode pairs is C)

In the example shown at the left side of the figure, to encode the digit 6, one disconnects the electrodes of the lowermost 6 of 10 electrode pairs. If there is a need to encode more than one digit (e.g., three digits as in the figure), then one can fabricate the corresponding number of resonant circuits having the same capacitor arrangement but having inductance values (L1, L2, L3) that differ sufficiently so that their resonance-frequency ranges do not overlap.
This method offers the following advantages in addition to the ones mentioned above:
- A number can be read, irrespective of the orientation of a tag containing the resonant circuits that encode the number.
- Numbers can be read at distances greater than the maximum reading distances of optical bar-code readers.
- A tag can be embedded or enclosed in electrically nonconductive material.
- A tag is secure in the sense that once it is embedded or enclosed in a protective material, there is no way to alter the encoded number in normal use.
- The method cannot store or acquire information providing ease of mind to consumers when used in retail.
This work was done by Stanley E. Woodard of NASA Langley Research Center and Bryant D. Taylor of Swales Aerospace for Langley Research Center. LAR-16483-1

