This method uses a magnetic-fieldresponse contact sensor that is designed to identify surface contact and motion between contact locations. The sensor has three components: (1) a capacitor-inductor circuit with two sets of electrical contact pads, (2) a capacitor with a set of electrical contact pads, and (3) an inductor with a set of electrical contact pads. A unique feature of this sensor is that it is inherently multifunctional. Information can be derived from analyzing such sensor response attributes as amplitude, frequency, and bandwidth. A change in one attribute can be due to a change in a physical property of a system. A change in another attribute can be due to another physical property, which has no relationship to the first one.

The sensor is powered and interrogated without physical connection to a power source, microprocessor, data acquisition equipment, or electrical circuitry. It works with the magnetic- field- response recorder described in “Magnetic- Field- Response Measurement- Acquisition System,” NASA Tech Briefs, Vol. 30, No. 6 (June 2006), page 28.
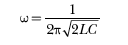
The sensor (capacitor-inductor circuit) is placed on the moving object as shown in the figure. When contact is made between stationary surface A, the capacitor and the capacitor-inductor circuit form a circuit the response frequency of which is
![]()
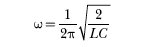
The contact pads could be compressible or spring-loaded electrical contacts that are electrically connected to the sensor. Movement away from surface A to the next surface results in the sensor response frequency shifting to
![]()
The response amplitude decreases as the sensor moves away from the antenna. Contact with surface B shifts the sensor response frequency to
![]()
Applications for this include being able to tell whether doors or hatches are sealed, surface bonds are secure (tile bonds, rubber bond to steal belts of tires, etc.), general knowledge of contact between two surfaces, or separation of surfaces.
This work was done by Stanley E. Woodard of Langley Research Center and Bryant D. Taylor of Swales Aerospace.

