An improved correction has been developed to increase the accuracy with which certain formulations of computational fluid dynamics predict mixing in shear layers of hot jet flows. The CFD formulations in question are those derived from the Reynolds-averaged Navier-Stokes equations closed by means of a two-equation model of turbulence, known as the k−ε model, wherein effects of turbulence are summarized by means of an eddy viscosity. The need for a correction arises because it is well known among specialists in CFD that two-equation turbulence models, which were developed and calibrated for room-temperature, low Mach-number, plane-mixing-layer flows, under predict mixing in shear layers of hot jet flows. The present correction represents an attempt to account for increased mixing that takes place in jet flows characterized by high gradients of total temperature. This correction also incorporates a commonly accepted, previously developed correction for the effect of compressibility on mixing.
One of the two equations of the k−ε model is
μt = ρCμk2/ε,
where μt is the eddy viscosity, ρ is the mass density, k is the time-averaged kinetic- energy density associated with the local fluctuating (turbulent) component of flow, ε is the time-averaged rate of dissipation of the turbulent-kinetic-energy density, and Cμ is the subject of the present correction, as described next.
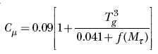
In the uncorrected k−ε model, Cμ has the constant value of 0.09. The present correction alters the value of Cμ to approximate the effects of the temperature gradient and compressibility on the eddy viscosity. Before presenting the correction, it is necessary to define some algebraic terms:
The temperature correction enters through a function of the gradient of the total temperature normalized by the local turbulence length scale. This function is given by
Tg ≡ |∇Tt|k3/2/εTt ,where Tt is the total temperature.
The turbulence Mach number is given by
Mτ ≡ (2k)1/2/a, where a is the local speed of sound.
The compressibility correction enters through a function of the turbulence Mach number. This function is given by
f(Mτ) = (Mτ2 – Mτ02)H(Mτ – Mτ0) where H(x) is the Heaviside function of x (the unit step function of x, which is 0 for negative x and 1 for positive x), and Mτ0 is a threshold Mτ value (initially set at 0.1) below which it is deemed unnecessary to apply the compressibility correction.
Then the corrected value of Cμ is given by

It should be noted that in the case of zero total-temperature gradient, the corrected value of Cμ reverts to the prior constant value of 0.09.
The present correction was tested on experimental data, in comparison with four prior standard corrections to the k−ε model. The figure presents an example showing that predictions by use of the present correction were in closest agreement with the experimental data.
This work was done by Khaled S. Abdol- Hamid and S. Paul Pao of Langley Research Center; Steven J. Massey of Eagle Aeronautics, Inc.; and Alaa Elmiligui of Analytical Services & Materials, Inc. For more information, download the Technical Support Package (free white paper) at www.techbriefs.com/tsp under the Information Sciences category. LAR-17016-1

