A method of recognizing or classifying patterns is based on an artificial immune system (AIS), which includes an algorithm and a computational model of nonlinear dynamics inspired by the behavior of a biological immune system. The method has been proposed as the theoretical basis of the computational portion of a star-tracking system aboard a spacecraft. In that system, a newly acquired star image would be treated as an antigen that would be matched by an appropriate antibody (an entry in a star catalog). The method would enable rapid convergence, would afford robustness in the face of noise in the star sensors, would enable recognition of star images acquired in any sensor or spacecraft orientation, and would not make an excessive demand on the computational resources of a typical spacecraft. Going beyond the star-tracking application, the AIS-based pattern-recognition method is potentially applicable to pattern- recognition and -classification processes for diverse purposes — for example, reconnaissance, detecting intruders, and mining data.
This AIS method is capable of efficient analysis of large sets of data, including sets that are characterized by high dimensionality and/or are acquired over long time intervals. When the method is used for unsupervised or supervised classification, the amount of computation scales linearly with the number of dimensions and offers performance that is both (a) nearly independent of the total size of the set of data and (b) equal to or better than the performances of traditional clustering methods. When used for pattern recognition, the method efficiently finds appropriate matches in the data. The method enables efficient classification of a high-dimensional set of data in a single pass through the data, and quickly flags outliers in much the same way as the human immune system produces antibodies to invading antigens.
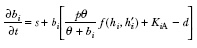
The AIS model in this method is embodied in a set of partial differential equations that approximate some aspects of the dynamics of a network of immune-system B cells:
![]()
where bi is the number of cells of clone i, t is time, s is a rate of influx, p is a maximal growth rate, ? is a growth clone-size threshold, f(hi,h'i) is a cell activation function, hi is a binding field, h'i is a cross-linking field, KiA is a measure of the affinity of a clone-i antibody for the antigen (the pattern to be recognized), and d is a death rate. The functions f(hi,h'i), hi, and h'i are defined by additional equations that must be omitted here for the sake of brevity. Suffice it to say that the cell activation function, f(hi,h'i), depends on the binding between the B-cell populations in the network. Cells having greater affinity with the incoming pattern (cells representing closer matches to the pattern) clone themselves (with or without mutation) faster than do those having lesser affinities (representing poorer matches).
The unsupervised classification process for this model starts with a single sequential presentation of the data to a randomly initialized set of cell populations. As a result of this mode of presentation, the amount of computation in the classification process is of the order of a number proportional to the number of dimensions of the input data. An affinity radius around each incoming pattern is used to cull the number of clone populations that respond each time. The system is allowed to evolve in time, and the clone population that survives is used as the class for each pattern. Typically, 10 to 20 computational cycles are all that are needed for convergence for each incoming item.
The method has been demonstrated by applying it to a high dimensional data set representing images, synthesized from images acquired by a spaceborne imaging spectrometer in 18 wavelength bands, that show various attributes of the Marquesas Islands and vicinity (see figure). Details of individual islands are difficult to discern in any one of the images, but after classification of the image data by the present AIS method, the dominant island groups can be discerned more easily.
This work was done by Terrance Huntsberger of Caltech for NASA’s Jet Propulsion Laboratory. For further information, access the Technical Support Package (TSP) free on-line at www.techbriefs.com/tsp under the Information Sciences category.
The software used in this innovation is available for commercial licensing. Please contact Karina Edmonds of the California Institute of Technology at (818) 393-2827. Refer to NPO-40256.
This Brief includes a Technical Support Package (TSP).

Artificial Immune System for Recognizing Patterns
(reference NPO-40256) is currently available for download from the TSP library.
Don't have an account?
Overview
The document is a Technical Support Package from NASA's Jet Propulsion Laboratory, dated June 13, 2002, focusing on the development of an Artificial Immune System (AIS) for recognizing patterns. This system is part of a broader initiative under NASA's Commercial Technology Program, aimed at making aerospace-related technological advancements accessible for wider applications in various fields.
The AIS is inspired by biological immune systems, which are adept at recognizing and responding to a vast array of pathogens. Similarly, the AIS is designed to identify and classify patterns in data, which can be particularly useful in complex environments such as space missions. The document outlines the potential applications of this technology in spacecraft pose estimation, where accurate recognition of patterns is crucial for navigation and operation in space.
The Technical Support Package includes references to various studies and experimental results that demonstrate the effectiveness of the AIS. It highlights the system's ability to learn from its environment and adapt to new challenges, making it suitable for long-duration missions where human intervention is limited. The AIS can process information in real-time, allowing for quick decision-making based on the patterns it recognizes.
Additionally, the document provides information on how the AIS can be integrated into existing systems and its potential for enhancing robotic capabilities. The use of evolutionary algorithms is emphasized, showcasing how these methods can improve the system's performance over time through iterative learning and adaptation.
The document also serves as a resource for further information, directing readers to the NASA Scientific and Technical Information (STI) Program Office for additional research and technology insights. It includes contact details for the STI Help Desk, encouraging collaboration and inquiries related to the technology.
In summary, this Technical Support Package presents a comprehensive overview of the Artificial Immune System for recognizing patterns, detailing its design, functionality, and potential applications in aerospace technology. It underscores NASA's commitment to innovation and the development of systems that can operate autonomously in challenging environments, paving the way for future advancements in space exploration and robotics.

