Thin-film heat-flux sensors of a proposed type would offer advantages over currently available thin-film heat flux sensors. Like a currently available thin-film heat-flux sensor, a sensor according to the proposal would be based on measurement of voltages related to the temperatures of thin metal films on the hotter and colder faces of a layer of an electrically insulating and moderately thermally conductive material. The heat flux through such a device is proportional to the difference between the temperatures and to the thermal conductivity of the layer. The advantages of the proposed sensors over the commercial ones would arise from the manner in which the temperature-related voltages would be generated and measured.
In currently available thin-film heat-flux sensors, the temperature-related voltages are generated by thin-film thermocouples. The voltages generated by the thermocouples are small, making it difficult to operate the sensors. Moreover, fabrication and calibration of the commercial sensors are made difficult by the basic nature of their designs, which call for precise deposition of layers of multiple materials to form the thermocouples.
A sensor according to the proposal would not exploit the thermocouple principle to generate the temperature related voltages. Instead, it would exploit the temperature dependence of the electrical resistivity of a single metal, which would be deposited in the form of patterned thin films on opposite sides of a layer of electrically insulating and moderately thermally conductive material. The use of a single metal, as opposed to at least two metals for a thermocouple, would make fabrication easier. The single-metal design would also make it feasible to fabricate sensors in batches.
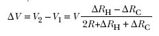
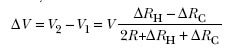
The basic principle of design and operation of the proposed sensors admits of wide variations in sizes, shapes, and materials to suit specific applications. Common to all designs is that the films would be patterned to form arms of Wheatstone bridges with contact pads for connection to external measurement circuitry. In every design (see figure), the metal films would be patterned so that two arms of the Wheatstone bridge would be on the hotter side (arms B and C) and two arms would be on the colder side (arms A and D). An excitatory potential, V =V+ - V-, would be applied to the bridge. The response of the bridge due to the heat flux would be given by
whereV1 and V2 are the potentials at the points so labeled in the figure, R is the electrical resistance of the bridge in the absence of any temperature difference or heat flux, and ΔRH is the change in resistance of legs B and C on the hot side and ΔRC is the change in resistance of legs A and D on the cold side. For a given temperature difference, the ΔV generated by this sensor would be an order of magnitude greater than the voltage generated by a thermocouple-based sensor.
This work was done by Gustave C. Fralick and John D. Wrbanek of Glenn Research Center and Charles A. Blaha of Akima Corp. For further information, access the Technical Support Package (TSP) free on-line at www.techbriefs.com/tsp under the Physical Sciences category. Inquiries concerning rights for the commercial use of this invention should be addressed to
NASA Glenn Research Center
Innovative Partnerships Office
Attn: Steve Fedor
Mail Stop 4-8
21000 Brookpark Road
Cleveland
Ohio 44135.
Refer to LEW-17306-1.

