A multiwavelength pyrometric technique estimates the surface and bulk (subsurface) temperatures of a hot glass. The multiwavelength pyrometer for which the technique was developed comprises a spectrometer plus a computer. The spectrometer can be operated in any of three wavelength ranges: 0.5 to 2.5, 0.6 to 4.5, or 2 to 14.5 µm; the range for a given measurement is generally selected according to the anticipated approximate temperature to be measured. The computer controls the spectrometer to acquire a spectrum, then analyzes the spectral data to determine the temperature.
The present technique pertains to the processing of the spectral data. Like other, related multiwavelength pyrometric techniques described in NASA Tech Briefs in recent years, the present technique is based partly on a modified version of Planck's radiation law. It is also based on an a distinct spectral characteristic of a typical glass; namely, that it is (1) opaque in the long-wavelength region and (2) semitransparent in the short-wavelength region of the infrared and adjacent visible spectrum to which the multiwavelength pyrometer is sensitive.
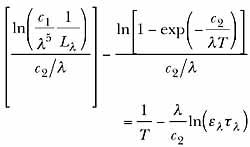
In the long-wavelength region, the radiation is emitted from the opaque surface. Planck's radiation law can be algebraically manipulated into the following equation, which is particularly useful for analyzing the spectral data:

where λ is the wavelength; c1 and c2 are constants in Planck's radiation law; Lλis the spectral intensity at wavelength λ; ελis the emissivity of the surface at wavelength λ; and τλis the transmissivity, at wavelength λ, of the optical medium through which the spectrometer views the surface.
It would be convenient, for purposes of analysis, if ελτλturned out to be independent of wavelength. The degree to which this is true must be determined by examining the spectral data and the accuracy of the resulting interpretation. If it is true, then a plot of the left side of the equation vs. wavelength becomes a straight line with an intercept at 1/T - the reciprocal of the unknown temperature that one seeks to determine. For this reason, the reciprocal of the left side of the equation is often called the "radiant temperature."
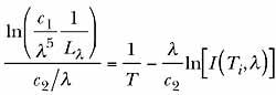
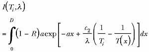
In the short-wavelength region, the observed radiation originates from inside the semitransparent material. In general, there is a temperature profile T(x), where x is the depth into the material. It is assumed that the spectrum of the radiation reaching the spectrometer is that of a grey body of characteristic temperature Ti, which is the bulk temperature that one seeks to determine. In this case, assuming that the wavelength is short enough to make c2/λT>> 1, the appropriately modified version of Planck's radiation law leads to the following equation for the reciprocal of a radiant temperature, in a form similar to that of the equation above:

where

R is the fraction of radiation reflected back into the glass at the surface and a is the absorption coefficient of the glass.
Following reasoning similar to that of the long-wavelength case, if I(Ti,λ) were to be independent of wavelength, then a plot of the left side of the equation vs. wavelength would be a straight line with an intercept at 1/Ti. Like the validity of the assumption of constancy of ελτλin the long-wavelength case, the validity of treating I(Ti,λ) as independent of wavelength in the short-wavelength case must be determined by examination of spectral data and the resulting interpretation.
The figure is a plot of the reciprocal of radiant temperature vs. wavelength computed from multiwavelength pyrometric readings of a sample of glass heated by a propane torch. The plot clearly shows a long-wavelength region and a short-wavelength region. A straight line fit to the data from the long-wavelength region intercepts the ordinate at 0.00375 K - 1, corresponding to a temperature of 1,194 K; this agrees with surface temperature of 1,194 K determined by a fit to a Planck curve with an emissivity of 0.74 at all wavelengths. A straight line fit to the data from the short-wavelength region intercepts the ordinate at an ordinate that corresponds to Ti = 1,136 K. The closeness of the fit of the short-wavelength data to the straight line confirms the validity of treating I(Ti,λ) as being independent of wavelength for these measurements.
This work was done by Daniel Ng of Lewis Research Center.
Inquiries concerning rights for the commercial use of this invention should be addressed to
NASA Lewis Research Center
Commercial Technology Office
Attn: Tech Brief Patent Status
Mail Stop 7 - 3
21000 Brookpark Road
Cleveland
Ohio 44135
Refer to LEW-16614.

