Innovators at NASA Johnson Space Center have developed a cost-effective method to create fabric-based circuits and antennas by combining conventional embroidery with automated milling. The technology allows for higher surface conductivity, improved impedance control, expanded design and application potential, and greater choice of materials for optimized performance.
Modern production of e-textiles utilizes an embroidery technique called e-broidery that directly stitches circuit patterns with conductive thread onto textiles. This automated manufacturing process combines steps of e-broidery and milling to expand the application of e-textiles to high-current and high-speed uses.
Manufacturing begins with two layouts of the desired conductive pattern. After assembling the layers of conductive and nonconductive materials, e-broidery is performed with the second layout and nonconductive thread to secure the layers together and designate the pattern for the conductive material. The secured assembly is transferred to an automated milling or laser cutting machine, which cuts the desired conductive pattern and releases the unneeded portions of the conductive material.
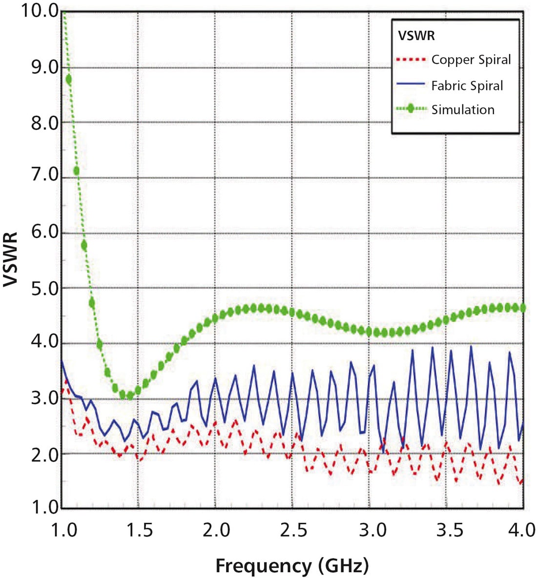
The resulting e-textiles are tightly woven together, providing higher surface conductivity and impedance control. Initial comparison tests assessing the performance of fabric-based spiral antennas developed with this method, compared to conventional antennas, indicated no loss in performance across multiple metrics, including voltage standing wave ratio (VSWR), radiation pattern, and axial ratio performance.
Previous efforts to automate fabric circuit and antenna fabrication have faltered on either the complexity of the manufacturing hardware and associated costs, or design and application limitations of the resulting e-textiles. This fabrication method offers benefits in cost and labor savings and provides opportunities for the development of design patterns with higher geometric complexity and performance improvements.
The potential applications include lightweight fabric antennas for fabric skin aircraft and unmanned autonomous vehicles (UAVs); advanced sensors/antennas for spacesuits; digital battlefield apparel that can be embedded with stealth and flexible electronics; as well as wireless or cellular networking, RFID, sensors, GPS.
NASA is actively seeking licensees to commercialize this technology. Please contact NASA’s Licensing Concierge at

