Fiber optic oxygen sensors use the fluorescence of a chemical complex in a sol-gel to measure the partial pressure of oxygen. The pulsed blue LED sends light, at ~475 nm, to an optical fiber. The optical fiber carries the light to the probe. The distal end of the probe tip consists of a thin layer of a hydrophobic sol-gel material.
A sensor formulation is trapped in the sol-gel matrix, effectively immobilized and protected from water. The light from the LED excites the formulation complex at the probe tip. The excited complex fluoresces, emitting energy at ~600 nm. If the excited complex encounters an oxygen molecule, the excess energy is transferred to the oxygen molecule in a non-radiative transfer, decreasing or quenching the fluorescence signal. The degree of quenching correlates to the level of oxygen concentration or to oxygen partial pressure in the film, which is in dynamic equilibrium with oxygen in the sample. The energy is collected by the probe and carried through the optical fiber to the spectrometer. This data can then be displayed using software such as OOISensors Software.
Fluorescence Quenching
Oxygen, as a triplet molecule, is able to quench efficiently the fluorescence and phosphorescence of certain luminophores. This effect (first described by Kautsky in 1939) is called "dynamic fluorescence quenching." Collision of an oxygen molecule with a fluorophore in its excited state leads to a non-radiative transfer of energy. The degree of fluorescence quenching relates to the frequency of collisions, and therefore to the concentration, pressure and temperature of the oxygen-containing media.
Calibration
In order to make accurate oxygen measurements of your sample, you must first perform a calibration procedure with your oxygen sensor system. Two major factors affect the calibration procedure of your system.
- First, decide if you are going to compensate for changes in temperature in your sample. If you are working with a sample where there are no fluctuations in temperature, you do not need to compensate for temperature. Temperature affects the fluorescence decay time, fluorescence intensity, collisional frequency of the oxygen molecules with the fluorophore, and the diffusion coefficient of oxygen. The sample should be maintained at a constant temperature (± 3 °C) for best results.
- Next, choose the algorithm you wish to use for your calibration procedure. The Linear (Stern-Volmer) algorithm requires at least two standards of known oxygen concentration while the second order polynomial algorithm requires at least three standards of known oxygen concentration.
Calibration curves are generated from your standards and the algorithms to calculate concentration values for unknown samples. The second order polynomial algorithm provides a better curve fit and, therefore, more accurate data during oxygen measurements, especially when working in a broad oxygen concentration range.
Linear (Stern-Volmer) Algorithm
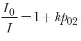
The output (voltage or fluorescent intensity) of our fiber optic oxygen sensors can be expressed in terms of the Stern-Volmer algorithm. The Stern-Volmer algorithm requires at least two standards of known oxygen concentration. The first standard must have 0% oxygen concentration and the last standard must have a concentration in the high end of the concentration range in which you will be working. The fluorescence intensity can be expressed in terms of the Stern-Volmer equation where the fluorescence is related quantitatively to the partial pressure of oxygen:

- I0 is the intensity of fluorescence at zero pressure of oxygen,
- I is the intensity of fluorescence at a pressure p of oxygen,
- k is the Stern-Volmer constant
For a given media, and at a constant total pressure and temperature, the partial pressure of oxygen is proportional to oxygen mole fraction.
The Stern-Volmer constant (k) is primarily dependent on the chemical composition of the sensor formulation. Our probes have shown excellent stability over time, and this value should be largely independent of the other parts of the measurement system. However, the Stern-Volmer constant (k) does vary among probes, and it is temperature dependent. All measurements should be made at the same temperature as the calibration experiments or temperature monitoring devices should be used.
If you decide to compensate for temperature, the relationship between the Stern-Volmer values and temperature is defined as:
- I0 = a0 + b0 * T + c0 * T2
- k = a + b * T + c * T2
The intensity of fluorescence at zero pressure of oxygen (I0) depends on details of the optical setup: the power of the LED, the optical fibers, loss of light at the probe due to fiber coupling, and backscattering from the sample. It is important to measure the intensity of fluorescence at zero pressure of oxygen (I0) for each experimental setup.
It is evident from the equation that the sensor will be most sensitive to low levels of oxygen. The photometric signal-to-noise ratio is roughly proportional to the square root of the signal intensity. The rate of change of signal intensity with oxygen concentration is greatest at low levels. Deviations from the Stern-Volmer relationship occur primarily at higher oxygen concentration levels. Using the second order polynomial algorithm when calibrating corrects these deviations.
Backscattering in the media can increase the collection efficiency of the probe, increasing the observed fluorescence. It is important to perform calibration procedures in the media of interest for highly scattering substances. For optically clear fluids and gases, this is unnecessary.
Second Order Polynomial Algorithm
The second order polynomial algorithm requires at least three standards of known oxygen concentration. The first standard must have 0% oxygen concentration and the last standard must have a concentration in the high end of the concentration range in which you will be working. The second order polynomial algorithm is considered to provide more accurate data because it requires at least three known concentration standards while the Linear (Stern- Volmer) algorithm requires a minimum of two known concentration standards. The second order polynomial algorithm is defined as:

- I0 is the fluorescence intensity at zero concentration
- I is the intensity of fluorescence at a pressure p of oxygen
- K1 is the first coefficient
- K2 is the second coefficient
If you decide to compensate for temperature, the relationship between the second order polynomial algorithm and temperature is defined as:
- I0 = a0 + b0 * T + c0 * T2
- K1 = a1 + b1 * T + c1 * T2
- K2 = a2 + b2 * T + c2 * T2
Henry's Law
It is possible to calibrate the system in gas and then use the probe in liquid or vice versa. In theory, your sensor probe detects the partial pressure of oxygen. In order to convert partial pressure to concentration, you can use Henry's Law. When the temperature is constant, the weight of a gas that dissolves in a liquid is proportional to the pressure exerted by the gas on the liquid. Therefore, the pressure of the gas above a solution is proportional to the concentration of the gas in the solution. The concentration (mole %) can be calculated if the absolute pressure is known:
Oxygen mole fraction = oxygen partial pressure / absolute pressure
Since the sensor detects partial pressure of oxygen, the response in a gas environment is similar to a liquid environment in equilibrium with gas. Therefore, it is possible to calibrate the sensor in gas and then use the system with liquid samples and vice versa if you utilize Henry's Law.
However, Henry's Law does not apply to gases that are extremely soluble in water. The following information illustrates the solubility of oxygen in water at different temperatures.
ln(X) = a + b/T* + cln(T*)
- Temperature range: 0°C - 75°C
- X=mole fraction
- T* = T/100 in Kelvin
- a = -66.7354
- b = 87.4755
- c = 24.4526
Scattering Media
Fluorescence emissions from the sensor formulation propagate in all directions. In clear media, only those emissions propagating toward the fiber within the acceptance angle of the probe are detected. If the probe tip is held near a reflecting surface, or immersed in a highly scattering media, the fluorescence signal will increase. The increase will be proportional for both the intensity of the fluorescence at a pressure of oxygen and the intensity of fluorescence at zero pressure of oxygen, but will not affect the Stern- Volmer constant. For this reason, it is necessary to measure the intensity of fluorescence at zero pressure of oxygen in the sample. Also, if you are measuring oxygen in highly scattering media, then the standards you use for your calibration procedure should be in the same media as your sample for the most accurate results.
This article was written by Monde Qhobosheane, Ph.D., Field Sales Engineer, Ocean Optics (Dunedin, FL). For more information, contact Dr. Qhobosheane at

