Ion-conducting polymers that are hybrids of organic and inorganic moieties and that are suitable for forming into solid electrolyte membranes have been invented in an effort to improve upon the polymeric materials that have been used previously for such membranes. Examples of the prior materials include perfluorosulfonic acid-based formulations, polybenzimidazoles, sulfonated polyetherketone, sulfonated naphthalenic polyimides, and polyethylene oxide (PEO)-based formulations. Relative to the prior materials, the polymers of the present invention offer greater dimensional stability, greater ease of formation into mechanically resilient films, and acceptably high ionic conductivities over wider temperature ranges. Devices in which films made of these ion-conducting organic/ inorganic polymers could be used include fuel cells, lithium batteries, chemical sensors, electrochemical capacitors, electrochromic windows and display devices, and analog memory devices.
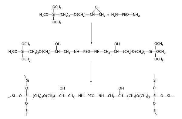
The synthesis of a polymer of this type (see Figure 1) starts with a reaction between an epoxide-functionalized alkoxysilane and a diamine. The product of this reaction is polymerized by hydrolysis and condensation of the alkoxysilane group, producing a molecular network that contains both organic and inorganic (silica) links. The silica in the network contributes to the ionic conductivity and to the desired thermal and mechanical properties.
Examples of other diamines that have been used in the reaction sequence of Figure 1 are shown in Figure 2. One can use any of these diamines or any combination of them in proportions chosen to impart desired properties to the finished product. Alternatively or in addition, one could similarly vary the functionality of the alkoxysilane to obtain desired properties. The variety of available alkoxysilanes and diamines thus affords flexibility to optimize the organic/inorganic polymer for a given application.
This work was done by James D. Kinder and Mary Ann B. Meador of Glenn Research Center. For more information, download the Technical Support Package (free white paper) at www.techbriefs.com/tsp under the Materials category.
Inquiries concerning rights for the commercial use of this invention should be addressed to
NASA Glenn Research Center
Innovative Partnerships Office
Attn: Steve Fedor
Mail Stop 4–8
21000 Brookpark Road
Cleveland, Ohio 44135.
Refer to LEW-17592-1.

