A nonlinear version of the Liouville equation based on terminal attractors is part of a mathematical formalism for describing postinstability motions of dynamical systems characterized by exponential divergences of trajectories leading to chaos (including turbulence as a form of chaos). The formalism can be applied to both conservative systems (e.g., multibody systems in celestial mechanics) and dissipative systems (e.g., viscous fluids).
This formalism at an earlier stage of development was reported in “Extension of
Liouville Formalism to Postinstability Dynamics” (NPO-30393), NASA Tech Briefs, Vol. 27, No. 9 (September 2003), page 56. To recapitulate: The problem is to predict the postinstability motions of a dynamic system governed by a system of nonlinear equations and subject to initial conditions. The formalism of nonlinear dynamics does not afford means to discriminate between stable and unstable motions: an additional stability analysis is necessary for such discrimination. However, an additional stability analysis does not suggest any modifications of a mathematical model that would enable the model to describe postinstability
motions efficiently. The most important type of instability that necessitates a postinstability description is associated with positive Lyapunov exponents. Such an instability leads to exponential growth of small errors in initial conditions or, equivalently, exponential divergence of neighboring trajectories.
The development of the present formalism was undertaken in an effort to remove positive Lyapunov exponents. The means chosen to accomplish this is coupling of the governing dynamical equations with the corresponding Liouville equation that describes the evolution of the flow of error probability. The underlying idea is to suppress the divergences of different trajectories that correspond to different initial conditions, without affecting a target trajectory, which is one that starts with prescribed initial conditions.
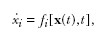
This formalism applies to a system of n first-order ordinary differential equations in n unknown dynamical (state) variables:
![]()
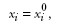
where i is an integer between 1 and n, xi is one of the unknown dynamical variables, the overdot signifies differentiation with respect to time, x is the vector of all the dynamical variables (x1,x2,...xn), and t is time. The prescribed initial conditions are given by
![]()
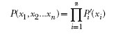
The corresponding Liouville equation for the evolution of the probability distribution, P(x1,x2,...xn,t ), of errors in the initial conditions is
![]()
where f is the vector of all the forcing functions ( f1,f2,...fn). It is assumed that this probability distribution peaks at zero error (representing the prescribed initial conditions).
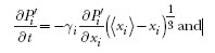
Fictitious control (stabilizing) forces [F = (F1,F2,...Fn)] are added to the system of differential equations. The form of these forces differs from that of the fictitious stabilizing force described in the cited previous article: Whereas previously, the fictitious stabilizing force was proportional to the gradient of the probability density in the space of the dynamical variables, the present fictitious control forces are functions of the differences between expected and actual values of the dynamical variables xi:
![]()
where ϒi is a positive constant and xi is the expected value of xi, as given by
![]()
The control forces have two important properties:
- Because they vanish as x →〈 x 〉, they do not affect the target trajectory; and
- Because the magnitudes of their derivatives approach ∞ as x →〈 x 〉, they make the target trajectory infinitely stable. In other words, the target trajectory becomes a terminal attractor.
The resulting modified system of dynamical equations is
![]()
The corresponding modified Liouville equation is

wherein the terminal attractors act as nonlinear sinks of probability.
At the limit as xi →〈 xi 〉, one can neglect the real force fi as being much smaller than the control force fi, making it possible to decompose the Liouville equation into n independent equations and to express P as a product of n probabilities Pi :
![]()
![]()
By use of these equations, it can be shown that the control forces create a powerful terminal attractor in probability space that corresponds to occurrence of the target trajectory with probability one (see figure). In configuration space (space in the sense in which “space” is understood in casual conversation), the effect of the control forces is to suppress exponential divergence of close neighboring trajectories without affecting the target trajectory. As a result, the post-instability motion is represented by a set of functions that describe the evolution of such statistical invariants such as expectations, variances, and higher moments of the statistics of the state variables xi as functions of time.
This work was done by Michail Zak of Caltech for NASA’s Jet Propulsion Laboratory. For further information, access the Technical Support Package (TSP) free online at www.techbriefs.com/tsp under the Mechanics category.
The software used in this innovation is available for commercial licensing. Please contact Karina Edmonds of the California Institute of Technology at (818) 393-2827. Refer to NPO-41519.
This Brief includes a Technical Support Package (TSP).

Stochastic Representation of Chaos Using Terminal Attractors
(reference NPO-41519) is currently available for download from the TSP library.
Don't have an account?
Overview
The document titled "Stochastic Representation of Chaos Using Terminal Attractors" from NASA's Jet Propulsion Laboratory discusses a novel approach to understanding and controlling chaotic systems in nonlinear dynamics. It highlights the limitations of traditional mathematical formalism, which does not differentiate between stable and unstable motions, necessitating additional stability analyses that often do not provide constructive solutions for postinstability behavior.
The primary focus is on the concept of positive Lyapunov exponents, which indicate instability and lead to the exponential growth of small errors in initial conditions, resulting in chaotic behavior. The proposed method aims to mitigate this instability by introducing control forces represented by terminal attractors. These attractors serve to suppress the divergence of trajectories that deviate from prescribed initial conditions while maintaining the integrity of the target trajectory that starts with the correct initial conditions.
The document outlines a system of first-order ordinary differential equations with multiple unknowns, emphasizing that due to finite precision, initial conditions are not known exactly. It assumes that the initial conditions align with the expected values, which are represented as joint distributions. The approach involves the evolution of these expected values as a critical first step in managing chaotic dynamics.
Additionally, the paper discusses the need for a modified Liouville equation that incorporates nonlinear sinks of probability associated with the terminal attractors. This adaptation is essential for closing the system and accurately representing the dynamics of the state variables over time.
The research presented in this document is part of a broader effort under NASA's Commercial Technology Program, aimed at making aerospace-related developments accessible for wider technological, scientific, and commercial applications. The findings may have implications beyond aerospace, potentially influencing various fields that deal with complex dynamical systems.
In summary, the document provides a comprehensive overview of a new framework for analyzing and controlling chaos in nonlinear systems, emphasizing the role of terminal attractors and modified mathematical representations to enhance stability and predictability in chaotic environments.

