An innovative method has been developed for acquiring fluid-level measurements. This method eliminates the need for the fluid-level sensor to have a physical connection to a power source or to data acquisition equipment. The complete system consists of a lightweight, thin-film magnetic-field-response fluid-level sensor (see Figure 1) and a magnetic field response recorder that was described in “Magnetic-Field-Response Measurement-Acquisition System” (LAR-16908-1), NASA Tech Briefs, Vol. 30, No. 6 (June 2006), page 28.
The sensor circuit is a capacitor connected to an inductor. The response recorder powers the sensor using a series of oscillating magnetic fields. Once electrically active, the sensor responds with its own harmonic magnetic field. The sensor will oscillate at its resonant electrical frequency, which is dependent upon the capacitance and inductance values of the circuit. The capacitance value of the sensor increases as the amount of fluid that the sensor is exposed to increases. When the energy is in the inductor, the harmonic magnetic field produced can be interrogated. The response recorder interrogates the sensor response and correlates the response frequency to fluid level.
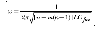
A thin layer of silicon nitride film is deposited on interdigital electrodes as shown in Figure 2 to electrically insulate the sensor’s capacitor. Silicon nitride also can be placed on the inductor. The fluid-level sensor uses interdigital electrodes for the capacitor that are electrically connected in parallel to a spiral trace inductor. The advantage of this design is that the entire sensor can be embodied as a thin film, and can be directly deposited to the inner wall of a nonconductive container for measuring non-viscous fluids.
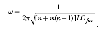
In Figure 2, a fluid having dielectric constant, κ, is in contact with m pairs of electrodes (e.g., placed in a fluid such that m electrode pairs are submersed). Each electrode pair has a capacitance of Cfree when not immersed in the fluid and Cimmersed = κCfree. The advantage of this method is that it serves as a lightweight, thin-film method of measuring fluids that are non-viscous. Another advantage is that the level measurements are discretized. The sensor capacitance, C(m), for a sensor having n electrode pairs increases as the number of electrode pairs, m, in contact with the dielectric increases.
C(m) = (n - m)Cfree + mCimmersed
= (n - m + κm)Cfree
= [n + m(κ - 1)]Cfree
When the electrodes are electrically connected to an inductor, a resonant circuit is formed having the resonant frequency of

The sensor response frequency ranges from its maximum value when the capacitor is not immersed (m = 0)

to its minimum when the capacitor is completely immersed (m = n).

This work was done by Stanley E. Woodard, Qamar A. Shams, and Robert L. Fox of Langley Research Center and Mr. Bryant D. Taylor of SWALES Aerospace. For more information, contact the Langley Innovative Partnerships Office at (757) 864-8881. Refer to LAR- 16614-1.

