The figure depicts an apparatus that simultaneously records magnified ordinary top-view video images and laser shadowgraph video images of a sessile drop on a flat, horizontal substrate that can be opaque or translucent and is at least partially specularly reflective. A similar apparatus for recording such images of a drop on a transparent substrate was described in Measuring Contact Angles of a Sessile Drop and Imaging Convection Within It" (LEW-17075), NASA Tech Briefs, Vol. 25, No. 3 (March 2001), page 50. As in the case of the previously reported apparatus, the diameter, contact angle, and rate of evaporation of the drop as functions of time can be calculated from the apparent diameters of the drop in sequences of the images acquired at known time intervals, and the shadowgrams that contain flow patterns indicative of thermocapillary convection (if any) within the drop. These time-dependent parameters and flow patterns are important for understanding the physical processes involved in the spreading and evaporation of drops.
The apparatus includes a source of white light and a laser (both omitted from the figure), which are used to form the ordinary image and the shadowgram, respectively. Charge-coupled-device (CCD) camera 1 (with zoom) acquires the ordinary video images, while CCD camera 2 acquires the shadowgrams. With respect to the portion of laser light specularly reflected from the substrate, the drop acts as a plano-convex lens, focusing the laser beam to a shadowgram on the projection screen in front of CCD camera 2.
The equations for calculating the diameter, contact angle, and rate of evaporation of the drop are readily derived on the basis of Snell's law of refraction and the geometry of the optics. The equations differ from those for the apparatus of the cited prior article. Omitting intermediate steps of the derivation for the sake of brevity, the results are the following:
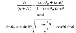
The two related unknown quantities are the contact angle and, for light that has been reflected from the substrate, the angle of refraction ( Ø2) of that light from the surface of the drop at a point near edge. These quantities are found by solving the simultaneous equations

where n is the index of refraction of the liquid in the drop, s = the total length of paths AB and BC, d is the apparent diameter of the drop as measured in the ordinary image acquired by CCD camera 1, and D is the diameter of the shadow-graphic image acquired by CCD camera 2. On the basis of a spherical-cap approximation of the shape of the drop, the thickness of the drop (h) at its apex is given by
![]()
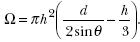
and the volume (Ω) of the drop is given by
![]()
The time-average rate of evaporation of the drop, Wav, is considered to be an important parameter for quantifying evaporation strength and can be determined by

whereΩ0 is the initial volume of the drop and tf is the lifetime of the drop. The instantaneous rate of evaporation can be calculated by
![]()
where ∆Ω is the difference between the volumes of the drop at two measurement times separated by the interval ∆t.
This work was done by David F. Chao of Glenn Research Center and Nengli Zhang of Ohio Aerospace Institute.
Inquiries concerning rights for the commercial use of this invention should be addressed to
NASA Glenn Research Center
Commercial Technology Office
Attn: Steve Fedor
Mail Stop 4–8
21000 Brookpark Road
Cleveland
Ohio 44135.
Refer to LEW-17301.

