An improved nonlinear mathematical model is being developed for use in predicting the complex, time-varying stress-and-strain behaviors of viscoelastic materials. The development of this model is prompted by (1) the lack of success of older constitutive mathematical models that contain hereditary integrals of linear viscoelasticity (e.g., integrals that express current stresses in terms of histories of strains and of relaxation moduli) and (2) the need for a nonlinear model subject to efficient numerical implementation.
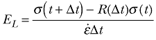
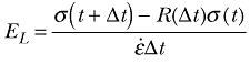
A one-dimensional version of the model is given by the equation

where σ(t) is uniaxial stress, t is the current time, Δt is an increment of time, R(Δt) is a relaxation function (which is not the same as a relaxation modulus), EL is a loading modulus (which is not the same as an initial or tangent modulus), ε(t) is uniaxial strain, and the overdot signifies differentiation with respect to time. Inasmuch as the time elapsed since initial loading is generally not known in a general-purpose numerical model, it is important that R does not depend on t.
R is defined by applying the equation in the special case of a relaxation test in which εremains constant for all time. Once R has been defined in this way, EL is defined by applying the equation to a constant-strain-rate test and rewriting the equation in the following form:

Fitting this model to experimental data is expected to be much more straightforward than it is for older nonlinear mathematical models of viscoelasticity: the figure illustrates how this is so. In applying the model, one uses relaxation data to predict relaxation only, and loading data to predict loading.
In general, EL is expected to be a function of strain, strain rate, temperature, and hydrostatic pressure. R can be approximated conveniently by R(Δt) = exp(-Δt/α), where α is a parameter used in fitting the model to experimental data.
Continuing efforts are expected to extend the model to three dimensions and to account for compressibility and dilatation. A tentative three-dimensional model in the form of a tensor rate equation has been proposed.
This work was done by Robert S. Dunham of Marshall Space Flight Center. No further documentation is available.Inquiries concerning rights for the commercial use of this invention should be addressed to
the Patent Counsel, Marshall Space Flight Center; (205) 544-0021.
Refer to MFS-28623.

