Coherent gradient sensing (CGS) is a diffraction-based, noncontact optical technique for measuring the slight curvature of a nearly flat thin film or specimen surface. CGS is especially useful for measuring curvatures of micromechanical structures and of thin films in electronic devices, to enable the determination of stresses in, and mechanical properties of, such structures and films. CGS is a full-field, real-time technique: Unlike in some other techniques, it is not necessary to acquire images of the specimen surface at different times under different conditions of curvature, nor is it necessary to scan a narrow beam of light over the surface; instead, CGS yields data on curvature over the entire surface area of interest, in as little time as it takes to acquire, digitize, and process a video image. Moreover, CGS is insensitive to rotation or displacement of the specimen.
Figure 1 schematically illustrates a reflection-mode CGS optical setup. A coherent, collimated laser beam is directed onto a specularly reflective specimen via a beam splitter. The reflected beam passes through the beam splitter, then through two identical high-density (40 lines/mm) Ronchi gratings separated by a distance Δ. A lens spatially filters the portions of light diffracted to various orders to form distinct diffraction spots on a filter plane. An aperture is placed in the filter plane to select a diffraction order of interest and reject other orders. The order of interest is then imaged on the focal plane of a video camera. The video image is digitized and processed to extract information on the curvature of the specimen surface.
Suppose that the grating lines are oriented along the x1axis. Figure 2 illustrates the formation of the first few diffraction orders by each Ronchi grating, and the formation of some of the resulting images on the filter plane. The reflected wavefront incident on Ronchi grating G1is diffracted into wavefronts E1, E0, and E -1, among others, these orders corresponding to diffraction orders 1,0, and -1, respectively. (For the sake of simplicity, only these orders are shown, though many others could be present.) Each of these wavefronts is diffracted by Ronchi grating G2, yielding wavefronts E1,1 through E -1, -1, among others. Various sets of parallel diffracted beams are combined by the filtering lens to form diffraction spots D1, D0, and D-1, among others.
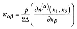
The net effect of the gratings is a lateral (in this case, along x2) shift or "shearing" of the incident wavefront, leading to the formation of interference fringes. The fringe pattern has been analyzed theoretically, using the simplifying approximations that the wavefront (and thus the specimen) is nearly flat and that diffraction angles are small. The analysis reveals that the curvature of the specimen surface can be obtained from the CGS interference-fringe pattern via the equation

where a = 1 or 2, b = 1 or 2, Καβ is the curvature tensor, p is the grating pitch, and n(α) denotes the cardinal number of a fringe observed in shearing along the xα direction.
This work was done by Ares J. Rosakis, Raman P. Singh, Elzbieta Kolawa, and Nicholas R. Moore, Jr., of Caltech for NASA's Jet Propulsion Laboratory. For further information, access the Technical Support Package (TSP) free on-line at www.techbriefs.com under the Physical Sciences category.
In accordance with Public Law 96-517, the contractor has elected to retain title to this invention. Inquiries concerning rights for its commercial use should be addressed to
Technology Reporting Office
JPL
Mail Stop 122-116
4800 Oak Grove Drive
Pasadena, CA 91109
(818) 354-2240
Refer to NPO-20189, volume and number of this NASA Tech Briefs issue, and the page number.
This Brief includes a Technical Support Package (TSP).

Coherent gradient sensing for measuring curvature
(reference NPO20189) is currently available for download from the TSP library.
Don't have an account?
Overview
The document discusses advancements in Coherent Gradient Sensing (CGS), an innovative optical technique developed for measuring the curvature of thin films and surfaces. This method is particularly significant in the fields of micromechanics and electronics, where precise measurements are crucial for the development of advanced materials and devices.
CGS operates by utilizing the interference of coherent light to detect minute changes in surface curvature. This technique allows for real-time, full-field measurements, eliminating the need for complex scanning processes or multiple image captures. The document highlights the advantages of CGS, including its ability to provide high-resolution data and its applicability to various specimen types, including those with patterned structures.
The authors acknowledge contributions from Dr. Craig Keast of MIT's Lincoln Laboratories and Prof. Linda P. Katehi from the University of Michigan, who provided essential specimens and membrane structures for the study. Financial support for the research was provided by NASA’s Advanced Flying Computing Task, managed by Dr. Leon Alcalá at the Jet Propulsion Laboratory (JPL).
The document also references several key studies and proceedings related to CGS and its applications, showcasing the ongoing research and development in this area. It includes citations from various journals and conferences, emphasizing the collaborative nature of the work and the importance of sharing knowledge within the scientific community.
Additionally, the document features a photograph of the CGS setup alongside a high-resolution X-ray diffraction setup, illustrating the experimental apparatus used in the research. This visual representation aids in understanding the practical implementation of CGS in laboratory settings.
Overall, the document serves as a comprehensive overview of CGS, detailing its methodology, applications, and the collaborative efforts behind its development. It underscores the potential of CGS in advancing the understanding and manipulation of materials at the micro and nanoscale, paving the way for innovations in semiconductor technology and other related fields.

