A new Spectral Beam Combining (SBC) architecture is currently being developed to address the limitations diode laser bars in applications requiring high output power and excellent beam quality. The architecture features an external resonant cavity with a dispersive element to automatically control the wavelength of each laser, thereby eliminating the need for individual laser controls.
This external cavity approach uses a diffraction grating as the dispersive element. The external cavity includes a collimating optic located a focal length away from the laser emitters. The grating is then positioned another focal length away, on the other side of the collimating optic. This geometry guarantees that the diverging beams from each laser are collimated and spatially overlap at the grating.
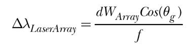
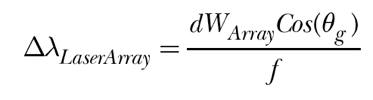
The external resonant cavity is formed by an output coupler that returns a fraction of the power back to each laser with a second reflection from the grating. This assures that the wavelength returned back to each laser is correct for achieving spectral beam combination. The figure shows basic properties of the SBC optical cavity. All of the beams exit with the same angle off the grating. This is necessary if each beam is collinear with the others. The design of an SBC cavity can be derived directly from differentiating the grating equation resulting in a simple relationship between the bandwidth required of the laser medium and the SBC optical cavity parameters:

Here, d is the spacing between the grating grooves, WArray is the width of the array of lasers to be combined, θg is the grating angle, and f is the focal length of the collimating optic. As an example, for a focal length of 30 cm, a 2400-line-per-mm-grating, and a laser array width of a few centimeters, the required bandwidth is 5-10 nanometers.
Aculight has built and demonstrated numerous spectral beam combined devices using the external cavity approach. One example is a sevendiode- bar arrangement first reported at Photonics West in 2004. Here, seven diode bars were arranged on a circular arc to reduce off-axis aberrations. Each diode bar had 200 single-mode emitters so that 1,400 individual lasers were beam combined and all were wavelength controlled with just a few optical elements. When beam combined they delivered 27 watts of near diffraction-limited power. Without SBC the beam quality would have been over 10,000 times the diffraction limit. With high power diode bars such arrangements could deliver a few hundred watts of excellent beam quality power. In fact, SBC efficiencies exceeding 70% have been achieved when using high-quality optical components.
The SBC technique is not limited only to diode laser bars. Any laser medium that will support some bandwidth can be combined. The Air Force Research Laboratory has spectrally beam combined Yb:YAG lasers; several laser manufacturers have spectrally beam combined fiber lasers. Spectrally combining fiber lasers is particularly interesting because each individual laser can produce more than 100 watts of power as compared to milliwatts from a semiconductor laser. Since the fiber laser emitter size is small, a large array of lasers can be packaged within a small width. For example, over 160 high power fibers could be arranged within a 4-cm linear aperture. Such an array of spectrally combined fiber lasers would produce a very high power and high brightness beam for use in applications such as defense, welding, cutting, and machining.
This article was contributed by Dennis Lowenthal, co-founder and vice president of research and development. For more information, contact Andrew Brown, director of business development for Aculight Corporation, at (425) 482-1100. Visit Aculight online at www.aculight.com .

