A proposed digital carrier-signal-tracking loop in a radio transponder could be programmed to operate in either a perfect-integration or an imperfect-integration mode. Although originally intended for use in a transponder aboard a spacecraft at a great distance from the Earth, the proposed loop might also be advantageously incorporated into terrestrial communication systems in which it is necessary to track the phases of received carrier signals.

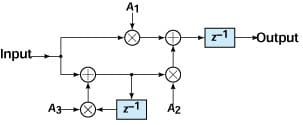
The proposed loop design would make it possible to choose whichever integration mode — perfect or imperfect — is currently more advantageous. The figure is a block diagram of a loop filter that can implement either mode. The transfer function of the loop can be given by A1z-1 + A2/(z – A3), where A1, A2, and A3 are arbitrary parameters and z is the argument of the z transform (z = eTs, where T is the sample period of the digital circuitry and s is the complex-frequency variable of the Laplace transform). The transfer function is that of a perfect or imperfect integrator, depending on the choice of A1, A2, and A3.
To obtain a perfect integrator, one must choose
A1 = K1,
A2 = K2TU, and
A3 = 1,
where K1 and K2 are parameters that determine the loop performance and TU is the sample period at the output of the loop error accumulator.
To obtain an imperfect integrator, one must choose
A1 K(TU – τ 2)/(TU – τ1),
A2 = K{(τ2/τ1)– [(TU – τ2)/(TU – τ1)]}, and
A3 = 1– (TU/τ1),
where K is the strong-signal loop gain and τ1 and τ2 are the loop time-constant parameters.
It is not necessary to select the parameters A1 and A2 with high precision: it suffices to set these parameters within about 1 percent of the values given in the equations above. However, the performance of the loop is quite sensitive to the value of A3: For an imperfect integrator, A3 must be set at a value that is less than 1 by a small, precise amount.
This work was done by Jeff Berner, James M. Layland, and Peter Kinman of Caltech for NASA's Jet Propulsion Laboratory. For further information, access the Technical Support Package (TSP) free on-line at www.nasatech.com/tsp under the Electronics & Computers category.
NPO-20845
This Brief includes a Technical Support Package (TSP).

Flexible Carrier-Signal-Tracking Loop for a Transponder
(reference NPO-20845) is currently available for download from the TSP library.
Don't have an account?
Overview
The document presents a technical support package from NASA detailing a Flexible Carrier-Signal-Tracking Loop for a Transponder, developed by researchers at the Jet Propulsion Laboratory (JPL). This innovative design allows for the reprogrammable integration of carrier signals, enabling the system to operate in either a perfect or imperfect integration mode, depending on the conditions of signal reception.
The primary motivation behind this development was to create a carrier tracking loop that could adapt to varying signal conditions without the need for additional hardware. The proposed loop filter can be adjusted by changing specific coefficients, allowing for seamless transitions between integration modes. This flexibility is particularly beneficial in scenarios where the quality of the received signal fluctuates, such as in deep-space communication or terrestrial communication systems.
In the document, the authors explain the mathematical parameters required for achieving both perfect and imperfect integrators. For a perfect integrator, specific values for parameters (A_1), (A_2), and (A_3) must be chosen, while for an imperfect integrator, different equations govern the selection of these parameters. The performance of the loop is sensitive to the precise value of (A_3), which must be set slightly less than 1 for optimal results.
The document also highlights the advantages of each integration mode. A perfect integrator provides superior tracking performance when a carrier signal is present, exhibiting zero phase error even when the signal frequency is offset. Conversely, during idle periods when the input consists solely of noise, an imperfect integrator can reduce drift in the best-lock frequency, making it advantageous in certain conditions.
The design's flexibility allows it to be programmed for the most advantageous integration mode based on the current state of the signal reception. This capability is crucial for maintaining effective communication, especially in challenging environments like space.
Overall, the document emphasizes the potential applications of this technology in both space and terrestrial communication systems, showcasing its ability to enhance signal tracking performance through advanced digital logic without the need for additional hardware. The work represents a significant advancement in the field of carrier-signal tracking, promising improved reliability and efficiency in various communication scenarios.

