Smooth phase interpolated keying (SPIK) is an improved method of computing smooth phase-modulation waveforms for radio communication systems that convey digital information. SPIK is applicable to a variety of phase-shift-keying (PSK) modulation schemes, including quaternary PSK (QPSK), octonary PSK (8PSK), and 16PSK. In comparison with a related prior method, SPIK offers advantages of better performance and less complexity of implementation.
In a PSK scheme, the underlying information waveform that one seeks to convey consists of discrete rectangular steps, but the spectral width of such a waveform is excessive for practical radio communication. Therefore, the problem is to smooth the step phase waveform in such a manner as to maintain power and bandwidth efficiency without incurring an unacceptably large error rate and without introducing undesired variations in the amplitude of the affected radio signal. Although the ideal constellation of PSK phasor points does not cause amplitude variations, filtering of the modulation waveform (in which, typically, a rectangular pulse is converted to a square-root raised cosine pulse) causes amplitude fluctuations. If a power-efficient nonlinear amplifier is used in the radio communication system, the fluctuating-amplitude signal can undergo significant spectral regrowth, thus compromising the bandwidth efficiency of the system.

In the related prior method, one seeks to solve the problem in a procedure that comprises two major steps: phase-value generation and phase interpolation. SPIK follows the two-step approach of the related prior method, but the details of the steps are different. In the phase-value-generation step, the phase values of symbols in the PSK constellation are determined by a phase function that is said to be maximally smooth and that is chosen to minimize the spectral spread of the modulated signal. In this step, the constellation is divided into two groups by assigning, to information symbols, phase values that result in equal numbers of clockwise and counterclockwise phase rotations for equally likely symbols. The purpose served by assigning phase values in this way is to prevent unnecessary generation of spectral lines and prevent net shifts of the carrier signal. In the phase-interpolation step, the smooth phase values are interpolated over a number, n, of consecutive symbols (including the present symbol) by means of an unconventional spline curve fit.
SPIK offers several advantages over the prior method:
- SPIK is not subject to numerical overflow that can occur because of phase buildup in the prior method.
- SPIK does not result in the unwanted spectral lines that are generated when the prior method is applied to QPSK.
- Whereas n can vary (and, hence, the phase of the present symbol can vary accordingly) in the prior method, n is fixed (typically at 3) in the present method.
- SPIK is amenable to simpler, optimal receiver structures.
It should be noted that the interpolator length (n) is an important parameter in SPIK. The reasons favoring the choice of n = 3 are
- Both the transmitter and the receiver can be implemented in architectures of low complexity;
- Performance at n = 3 is noticeably better than that at n = 2; and
- Performance for all values of n>3 is only slightly better than that for n = 3.
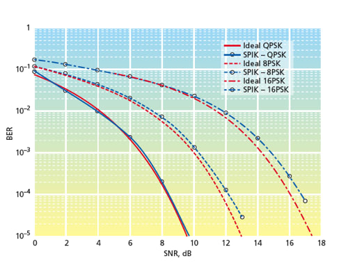
Computational simulations have been performed to evaluate the bit-error rate (BER) as a function of signal-to-noise ratio (SNR) for ideal QPSK, 8-PSK, and 16-PSK, and for the corresponding PSK cases with SPIK. The results, plotted in the figure, show that performance attainable with SPIK is close to ideal. In addition, the spectral and BER performances of SPIK-QPSK have been shown to exceed those of enhanced Feher QPSK.
This work was done by Deva K. Borah of New Mexico State University for Goddard Space Flight Center.
In accordance with Public Law 96-517, the contractor has elected to retain title to this invention. Inquiries concerning rights for its commercial use should be addressed to:
New Mexico State University
P.O. Box 30001
MSC 3RES Las Cruces, NM 88003-8001
Refer to GSC-14882-1, volume and number of this NASA Tech Briefs issue, and the page number.

