A method of computing channel capacities and error rates in multipulse pulse-position modulation (multipulse PPM) has been developed. The method makes it possible, when designing an optical PPM communication system, to determine whether and under what conditions a given multipulse PPM scheme would be more or less advantageous, relative to other candidate modulation schemes.
In conventional M-ary PPM, each symbol is transmitted in a time frame that is divided into M time slots (where M is an integer >1), defining an M-symbol alphabet. A symbol is represented by transmitting a pulse (representing “1”) during one of the time slots and no pulse (representing “0”) during the other M – 1 time slots. Multipulse PPM is a generalization of PPM in which pulses are transmitted during two or more of the M time slots. If the number of pulses per symbol is n, then the number of symbols in the alphabet is given by the binomial coefficient
![]()
The method is based partly on an analysis of the conditional probability, p1(y) or p0(y), that the actual value, y, of the noisy signal detected in a receiver during a given time slot represents a transmitted 1 or a transmitted 0, respectively. For purposes of the analysis, the signal-propagation channel is assumed to be memoryless. The analysis includes consideration of L(y) = p1(y)/p0(y), defined as the likelihood ratio for receiving value y during the time slot. It is assumed that L(y) is finite and, as is true for many channels of practical interest, that L(y) increases monotonically with y. This analysis leads to a maximum-likelihood (ML) decision rule to be used by the receiver. The rule turns out to be equivalent to the intuitive conjecture that the symbol most likely to have been transmitted, given the actual signal values detected during a symbol frame, is the one represented by 1 in each of the n time slots for which the detected signal values were the largest.
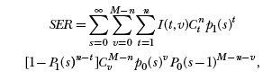
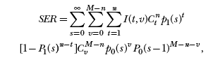
Next, an analysis of the probabilities that ML decisions are correct or incorrect for various detected signal levels leads to the following equation for the symbol error rate (SER) — that is, the probability of incorrect symbol detection:

where I(t,v) ≡1/Ct t +v, P1(s) is the probability that the digitized value of the detected signal (e.g., the number of detected photons) in a “1” slot is less than or equal to s, and P0(s) is the probability that the digitized value of the detected signal in a “0” slot is less than or equal to s. The figure presents an example of SER values calculated by use of these equations.
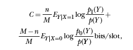
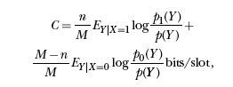
Next, a comparative analysis of throughput achievable in conventional and multipulse PPM under bandwidth, average-power, and peak-power constraints leads to the following equation for the channel capacity:

where p(Y ) ≡(n/M)p1(Y ) + [(M– n)/M] p0(Y ) is denoted the probability mass function for a randomly chosen slot and EY|X=1 or EY|X=0 is the expected value of signal level Y in a slot for which the transmitted signal value, X, was 1 or 0, respectively.
This work was done by Jon Hamkins and Bruce Moision of Caltech for NASA’s Jet Propulsion Laboratory. For further information, contact

