A methodology for improving gravity-gradient measurement data exploits the constraints imposed upon the components of the gravity-gradient tensor by the conditions of integrability needed for reconstruction of the gravitational potential. These constraints are derived from the basic equation for the gravitational potential and from mathematical identities that apply to the gravitational potential and its partial derivatives with respect to spatial coordinates.
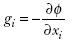
Consider the gravitational potentialφ in a Cartesian coordinate system {x1,x2,x3}. The ith component of gravitational acceleration is given by
![]()
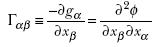
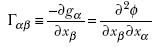
(where i = 1, 2, or 3) and the (α,β) component of the gravity-gradient tensor is given by
![]()
where α = 1, 2, or 3 and β = 1, 2, or 3). The aforementioned constraints are such that the components of the gravity-gradient tensor are not independent of each other. In particular, it is easily shown that the gravity-gradient tensor is symmetrical and has a zero trace; that is,
Γαβ = Γβα and Γ11+ Γ22 +Γ33 = 0.
Hence, if one measures all the components of the gravity-gradient tensor at all points of interest within a region of space in which one seeks to characterize the gravitational field, one obtains redundant information. One could utilize the constraints to select a minimum (that is, nonredundant) set of measurements from which the gravitational potential could be reconstructed. Alternatively, one could exploit the redundancy to reduce errors from noisy measurements.
A convenient example is that of the selection of a minimum set of measurements to characterize the gravitational field at n3 points (where n is an integer) in a cube. Without the benefit of such a selection, it would be necessary to make 9n3 measurements because the gravity-gradient tensor has 9 components at each point. It has been shown that when the constraints are applied to the measurement points in an appropriately chosen sequence, the number of measurements needed to compute all 9n3 components is only n3 + n2 + 3n .
The problem of utilizing the redundancy to reduce errors in noisy measurements is an optimization problem: Given a set of noisy values of the components of the gravity-gradient tensor at the measurement points, one seeks a set of corrected values — a set that is optimum in that it minimizes some measure of error (e.g., the sum of squares of the differences between the corrected and noisy measurement values) while taking account of the fact that the constraints must apply to the exact values. The problem as thus posed leads to a vector equation that can be solved to obtain the corrected values.
This work was done by Igor Kulikov and Michail Zak of Caltech for NASA's Jet Propulsion Laboratory. NPO-30536
This Brief includes a Technical Support Package (TSP).

Reducing Errors by Use of Redundancy in Gravity Measurements
(reference NPO-30536) is currently available for download from the TSP library.
Don't have an account?
Overview
The document titled "Reducing Errors by Use of Redundancy in Gravity Measurements" is a Technical Support Package (NPO-30536) published by NASA's Jet Propulsion Laboratory. It is part of the NASA Tech Briefs, which aim to disseminate aerospace-related developments that have potential applications beyond their original context.
The primary focus of this document is on improving the accuracy of gravity measurements through the implementation of redundancy. Redundancy in this context refers to the use of multiple measurements or systems to ensure that errors can be identified and corrected, thereby enhancing the reliability of the data collected. This approach is particularly important in fields such as geophysics, satellite navigation, and space exploration, where precise gravity measurements are crucial for understanding gravitational fields and their variations.
The document outlines the methodologies and technologies developed to reduce errors in gravity measurements. It emphasizes the significance of accurate gravity data in various applications, including Earth science research, climate monitoring, and the study of geological processes. By employing redundant systems, researchers can cross-verify measurements, leading to more robust data and improved scientific outcomes.
Additionally, the Technical Support Package provides information on how these advancements can be leveraged for commercial technology applications. It highlights the potential for these innovations to benefit industries beyond aerospace, suggesting that the techniques developed could have wider implications in sectors such as environmental monitoring, resource management, and infrastructure development.
The document also includes contact information for further assistance and resources available through NASA's Scientific and Technical Information (STI) Program Office. This includes access to a variety of publications and support services that can aid researchers and industry professionals in utilizing the findings presented in the Technical Support Package.
In summary, this document serves as a valuable resource for understanding the advancements in gravity measurement techniques through redundancy, showcasing NASA's commitment to enhancing scientific accuracy and promoting the application of aerospace technologies in broader contexts. It reflects the agency's ongoing efforts to support innovation and collaboration in the scientific community.

