An improved method of measuring chromatic dispersion in an optical fiber or other device affords a lower (relative to prior such methods) limit of measurable dispersion. This method is a modified version of the amplitude-modulation (AM) method, which is one of the prior methods. In comparison with the other prior methods, the AM method is less complex. However, the AM method is limited to dispersion levels >160 ps/nm and cannot be used to measure the symbol of the dispersion. In contrast,the present modified version of the AM method can be used to measure the symbol of the symbol of the dispersion and affords a measurement range from about 2 ps/nm to several thousand ps/nm with a resolution of 0.27 ps/nm or finer.

The figure schematically depicts the measurement apparatus. The source of light for the measurement is a laser, the wavelength of which is monitored by an optical spectrum analyzer.A light-component analyzer amplitude-modulates the light with a scanning radio-frequency signal. The modulated light is passed through a buffer (described below)and through the device under test (e.g. an optical fiber, the dispersion of which one seeks to measure), then back to the light-component analyzer for spectrum analysis.
Dispersion in the device under test gives rise to phase shifts among the carrier and the upper and lower sideband components of the modulated signal. These phase shifts affect the modulation-frequency component of the output of a photodetector exposed to the signal that emerges from the device under test. One of the effects is that this component goes to zero periodically as the modulation frequency is varied. From the basic equations for dispersion of the modulated signal and the amplitude of the modulation-frequency output of the photodetector, the following equation has been derived:
![]()
where DT is the total dispersion, n is an integer, c is the speed of light, λ is the laser wavelength,and fn is the nth modulation frequency for which the photodetector output vanishes.
One of the conclusions that one can draw from the foregoing equation is that the lower limit of measurability in the AM method is set by the highest modulation frequency. For example, in the case of an apparatus that lacks a buffer but is otherwise identical to that shown in the figure and that has a maximum modulation frequency of 20 GHz and a laser wavelength of 1,550 nm, the minimum measurable dispersion is about 160 ps/nm.
What distinguishes the present method is the inclusion of the buffer, which can be an optical fiber, a fiber-optic grating or a combination of the two. The buffer must have a known dispersion, DB, approximately equal to or larger than the minimum measurable dispersion. One can determine DB from a measurement performed without the device under test (that is, the buffer only) in the optical train. When both the buffer and the device under test are present,the total dispersion is given by
![]()
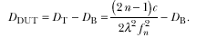
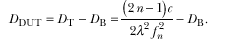
where DDUT is the dispersion of the device under test. Then
![]()
By virtue of the subtraction of DB, the lower limit of measurability of DDUT is lower than that of DT. If the symbol of the dispersion is small, one can obtain it by measuring the change in fn (dfn) and then calculating it approximately as the differential of the immediately preceding equation:
![]()
This work was done by Shouhua Huang, Thanh Le, and Lute Maleki of Caltech for NASA's Jet Propulsion Laboratory. For further information, access the Technical Support Package (TSP) free on-line at www.techbriefs.com/tsp under the Physical Sciences category.
In accordance with Public Law 96-517,the contractor has elected to retain title to this invention.Inquiries concerning rights for its commercial use should be addressed to:
Innovative Technology Assets Management JPL
Mail Stop 202-233
4800 Oak Grove Drive
Pasadena,CA 91109-8099 (818)354-2240
E-mail: This email address is being protected from spambots. You need JavaScript enabled to view it.
Refer to NPO-30406,volume and number of this NASA Tech Briefs issue, and the page number.
This Brief includes a Technical Support Package (TSP).

Improved Measurement of Dispersion in an Optical Fiber
(reference NPO-30406) is currently available for download from the TSP library.
Don't have an account?
Overview
The document titled "Improved Measurement of Dispersion in an Optical Fiber" from NASA's Jet Propulsion Laboratory presents a novel technology for measuring optical dispersion, a critical parameter in optical systems. The research addresses the limitations of existing measurement methods, particularly the amplitude modulation (AM) method, which is restricted to measuring dispersions greater than 160 ps/nm and cannot determine dispersion symbols.
The proposed measurement technique allows for the determination of dispersion symbols and covers a wide range of dispersion values, from approximately 2 ps/nm to several thousand ps/nm, with a resolution of 0.27 ps/nm or higher. This method is based on differential measurements and is designed to be simpler and more accessible for end users compared to traditional methods like the modulation phase-shift and differential phase-shift techniques, which are complex and often used by fiber manufacturers.
The measurement setup involves a laser as the light source and an optical spectrum analyzer to monitor the laser wavelength. A light component analyzer (LCA) generates a scanning RF signal to modulate the light, which then passes through a buffer and the device under test (DUT) before returning to the LCA for analysis. The document details the mathematical framework for calculating total dispersion, including equations that relate modulation frequency to dispersion values.
The calibration process is described, where a single-mode fiber is used as a buffer, and its dispersion performance is measured using a DFB laser. The results indicate that the total dispersion and unit length dispersion for the buffer fiber are 212.44 ps/nm and 16.77 ps/nm*km, respectively. The document also discusses the measurement results for a 1.14 km single-mode fiber, yielding a total dispersion of 19.58 ps/nm.
Overall, this document highlights significant advancements in optical dispersion measurement technology, emphasizing its potential applications in various fields beyond aerospace. The improved measurement capabilities can enhance the performance and reliability of optical systems, making it a valuable resource for researchers and engineers working with optical fibers and related technologies.

