Two interferometric quantum-nondemolition (QND) devices have been proposed: (1) a polarization-independent device and (2) a polarization-preserving device. The prolarization-independent device works on an input state of up to two photons, whereas the polarization-preserving device works on a superposition of vacuum and single-photon states. The overall function of the device would be to probabilistically generate a unique detector output only when its input electromagnetic mode was populated by a single photon, in which case its output mode would also be populated by a single photon.
Like other QND devices, the proposed devices are potentially useful for a variety of applications, including such areas of NASA interest as quantum computing, quantum communication, detection of gravity waves, as well as pedagogical demonstrations of the quantum nature of light. Many protocols in quantum computation and quantum communication require the possibility of detecting a photon without destroying it. The only prior single-photon-detecting QND device is based on quantum electrodynamics in a resonant cavity and, as such, it depends on the photon frequency. Moreover, the prior device can distinguish only between one photon and no photon. The proposed interferometric QND devices would not depend on frequency and could distinguish between (a) one photon and (b) zero or two photons.
The first proposed device is depicted schematically in Figure 1. The input electromagnetic mode would be a superposition of a zero-, a one-, and a two-photon quantum state. The overall function of the device would be to probabilistically generate a unique detector output only when its input electromagnetic mode was populated by a single photon, in which case its output mode also would be populated by a single photon.
The input mode would first be divided by a 50:50 beam splitter. The two resulting modes would be directed into two separate Mach-Zehnder (MZ) interferometers, each of which would contain elements that would produce a phase shift of π/2 radians between its two arms. At the same time, single-photon probes would enter through secondary input ports of the MZ interferometers. Whenever a single-input photon entered through the primary port of either interferometer, the single-photon probe would effect a relative-phase change. The primary outputs of the MZ interferometers would be mixed in a beam splitter and detected by photodetectors D1 and D2. A coincidence in the outputs of these photodetectors could signal the presence of one or two photons in the input mode. The interferometers would be balanced in such a way that a vacuum input could not result in a coincidence in detectors D1 and D2.
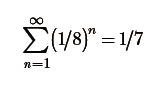
The remaining outgoing modes would be combined in another beam splitter. The secondary output of this beam splitter would be sent to photodetector D3, while the primary output of this beam splitter would be the desired output mode of the device. D3 would be used to rule out a two-photon input state. The net result would be that an absence of output of detector D3 simultaneous with a coincidence in detectors D1 and D2 would signify that both the input and output modes of the overall device were single-photon states. The probability that a single-photon input state would give rise to a D1/D2 coincidence would be 1/8. If one were to repeat the QND measurement ad infinitum, the probability of a successful measurement would be:

If the photodetectors were capable of resolving single photons and operated with efficiency η, then the overall efficiency for repeated measurements would be η2/7.
The second proposed device, depicted in Figure 2, is designed to signal the presence of a single photon with arbitrary polarization state |θ〉 = α|H〉 + β|V 〉, (where α and β are complex numbers and |H〉 and |V 〉 signify the horizontal and vertical polarization states, respectively) and to preserve the input polarization in the output. The second proposed device is similar to the first proposed device except as follows:
- The initial and final beam splitters would be of the polarizing type.
- The single-photon probes would be in the same polarization as those of the primary inputs to their respective MZ interferometers.
- The secondary output of the horizontal-polarization MZ interferometer would be rotated by π/2 radians (in other words, made vertical) in order to prevent any polarization/path information from affecting the outputs of D1 and D2.
- The output beam would be subjected to a polarization flip σx: {|H〉→|V 〉,|V 〉→|H〉} to recover the input state.
The single-photon input that one seeks to detect would result in a D1/D2 coincidence accompanied by zero output of D3. In this device, a D1/D2 coincidence accompanied by zero output from D3 could also indicate a two-photon input state α|H2〉in + β|V 2〉in and a corresponding output state of (α − β)|HV〉out. One could suppress this undesired condition by applying the appropriate SU(2) transformation to make α = β upstream of the interferometer and then applying the inverse of the transformation downstream of the interferometer.
This work was done by Pieter Kok, Hwang Lee, and Jonathan Dowling of Caltech for NASA’s Jet Propulsion Laboratory. NPO-30551

