Two innovative mathematical models of nonlinear vibrations, and methods of applying them, have been conceived as byproducts of an effort to develop a Kalman filter for highly precise estimation of bending motions of a large truss structure deployed in outer space from a space-shuttle payload bay. These models are also applicable to modeling and analysis of vibrations in other engineering disciplines, on Earth as well as in outer space.
The first model is denoted the amplitude- dependent stiffness (ADS) model to emphasize the difference between it and the classical linear harmonic-oscillator model, in which stiffness is a constant. The ADS model is embodied in the equation
ẍ + ξẋ + K(x, ẋ)x = 0,
where x is the instantaneous amplitude of the oscillating position or modal coordinate, ξ is a damping parameter, and K(x, ẋ) is the ADS.
In the initial outer-space application, the ADS was represented by the following nonlinear function:
K(x, ẋ) = a + bA(x, ẋ) + cA(x, ẋ)2,
where a, b, and c are constant parameters to be obtained by fitting the model to empirical amplitude- versus- frequency data, and A(x, ẋ) is a modal amplitude. The amplitude-versus-frequency data are obtained by means of a moving- window estimation technique in which one analyzes the instantaneous vibration waveform during a time window of about 90 percent of the time-average vibration period. The amplitude and frequency are taken to be those of a sinusoid that makes the least-squares best fit to the instantaneous amplitude during the window (see figure). The window is then moved by about 2 percent of the average period and another best-fit sinusoid is found. This process is repeated until a suitably representative sample of the vibration waveform has been acquired.
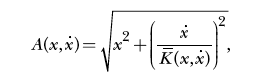
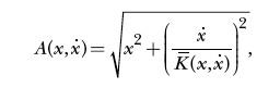
The modal amplitude is given by

where K̅(x, ẋ) is any reasonable approximation of K(x, ẋ). One can refine the approximation iteratively, starting from K(x, ẋ)=a, then using the resulting value of A(x, ẋ) in computing a value of K̅(x, ẋ) by use of the above equation for K(x, ẋ).
The second model, denoted the moment-expansion (ME) model, is embodied in the equation
ẋ + M(x, ẋ) = 0
where the function M(x, ẋ) is a moment expansion that captures damping and stiffness effects. The moment expansion is given by

where both i and j range from 0 to 3, except that there is no (i, j) = (0,0) term. In the original outer-space application, the parameters pij are obtained from (1) modal position and velocity estimates obtained from Kalman-filter states and (2) derived accelerations.
In a test relevant to the original outer-space application, the ADS and ME models were compared with each other, with a linear model, and with a prior nonlinear model known as the Duffing model. The ADS model was found to yield the least error.
This work was done by Paul Brugarolas, David Bayard, John Spanos, and William Breckenridge of Caltech for NASA’s Jet Propulsion Laboratory. For further information, contact

