The Hilbert-Huang transform (HHT) is part of the mathematical basis of a method of calculating a stability spectrum. This method can be regarded as an extended and improved version of a prior HHT-based method of calculating a damping spectrum. In the prior method, information on positive damping (which leads to stability) and negative damping (which leads to instability) becomes mixed into a single squared damping loss factor. Hence, there is no way to distinguish between stability and instability by examining a damping spectrum. In contrast, in the present stability-spectrum method, information on the mathematical sign of the damping is retained, making it possible to identify regions of instability in a spectrum. This method is expected to be especially useful for analyzing vibration- test data for the purpose of predicting vibrational instabilities in structures (e.g., flutter in airplane wings).
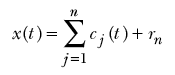
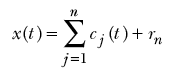
A brief summary of the HHT is prerequisite to a meaningful brief summary of the present method. The HHT has been a topic of several prior NASA Tech Briefs’ articles, the first and most detailed being “Analyzing Time Series Using EMD and Hilbert Spectra” (GSC-13817), NASA Tech Briefs, Vol. 24, No. 10 (October 2000), page 63. To recapitulate: The HHT method is especially suitable for analyzing time-series data that represent nonstationary and nonlinear physical phenomena. The method involves the empirical mode decomposition (EMD), in which a complicated signal is decomposed into a finite number of functions, called “intrinsic mode functions” (IMFs), that admit well-behaved Hilbert transforms. The HHT consists of the combination of EMD and Hilbert spectral analysis. An unavoidably lengthy description of the mathematical basis of the prior damping-spectrum method is also prerequisite to a meaningful brief summary of the present method. The instantaneous amplitude of a vibration signal at time t is given by

where n is an integer, cj(t) is an IMF, and rn is a residue signal.
For each IMF (for example, the kth one), a Hilbert transform is performed to obtain a complex time-dependent function:
![]()
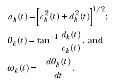
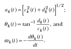
The time-dependent amplitude [ak(t)], phase [θk(t)], and frequency [ωk(t)] of the kth IMF are then given by

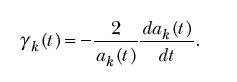
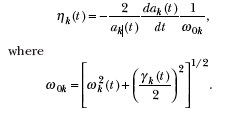
The damping of the kth IMF is given by

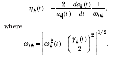
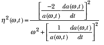
The damping loss factor of the kth IMF is then given by

Then summing all the squared damping loss factors as functions of time and frequency and letting frequency become a continuous variable ω, one obtains the damping spectrum η2(ω,t), which is related to an amplitude spectrum a(ω,t) via the equation

This concludes the description of the prior method.
In the present method, one computes a damping loss factor ηk(t) or η (ω,t) by use of equations similar to those shown above, but with the following notable differences:
- Instead of using the Hilbert transform to compute a complex function and then using the complex function to compute the amplitude function, one uses a cubic spline to compute the amplitude function. The reason for this change is that in a practical implementation, a Hilbert transform can introduce spurious oscillations that can mask true damping or anti-damping, whereas any spurious oscillations introduced by a cubic spline are much smaller.
- The instantaneous frequency ωk(t) or ω(t) is not calculated as indicated above. Instead, it is calculated by use of the normalized HHT. This change is necessitated by a limitation of the Hilbert transform — too complex to discuss here — that has been a topic of prior publications.
- One retains the sign of the damping by simply refraining from squaring the damping loss factor: in other words, η (ω,t) becomes the stability spectrum. Areas of positive and negative damping can be readily distinguished on a plot of the spectrum. To make areas of negative damping even more readily apparent, it could be desirable, in some cases, to place areas of positive damping and areas of negative damping on separate plots.
This work was done by Norden E. Huang of Goddard Space Flight Center. For more information, download the Technical Support Package (free white paper) at www.techbriefs.com/tsp under the Information Sciences category. GSC-14833-1

