Fiber reinforced polymer composites are revolutionizing the design of large, high-performance structures in the aerospace, marine and power generation industries due to their advantages in areas such as corrosion resistance, specific strength and tailorability. The use of carbon fiber reinforced composites, the most common and lightest of the “non-exotic” composite materials, is now very widespread. The maiden flight of The Boeing Company’s new 787 Dreamliner, the first commercial aircraft to use composites for most of its construction in December of 2009, is a stark example of just how far carbon fiber composite materials have come in the last 50 years: from hockey sticks, tennis rackets and R&D labs, to carrying us from here to there at 500+ mph.
As modern design moves more towards the use of lighter and stronger materials like carbon composites, it must also move towards smarter materials. The relative inexperience with composite materials compared to their metallic counterparts often necessitates either overdesign of components or more frequent inspections and monitoring. Composite materials present a host of failure modes (cracks, disjoints, delaminations, etc.) that can be nearly catastrophic and very difficult to detect — a very bad combination. Photonics offers an elegant solution to this problem in the form of embedded fiber optic sensors for structural health monitoring (SHM).
Fiber sensors integrated into composites form a very natural technology marriage. First, both are ideal in the lightweight category. Second, and perhaps more important, optical fiber can be integrated directly into the composite material, forming the ideal material/sensor combination for SHM. Because carbon fiber composite failure modes can be both latent and extensive, integration of the sensor into the matrix of the material offers the key to health assessment, maintenance, and management of the integrity of structural composites.
Advantages and Considerations
Fiber sensors have shown promise in integrated health monitoring for many years now. For in-situ monitoring of materials and structures, fiber sensors offer many advantages over more conventional sensors such as electrical strain gages. Among these advantages are intrinsically light weight, very small size (standard optical fiber is about the same size as human hair), immunity to electromagnetic interference and corrosion resistance.
There are many considerations to successfully integrating fiber sensors into composite materials, and this is itself an active area of research. Issues include the manufacturing process to integrate the sensors without compromising the composite matrix, sensor ingress/ egress, and sensor survivability maintenance. Here we focus on an emerging fiber sensing technology that addresses one of the main issues with SHM for composites: ensuring the fiber sensors, once embedded, reliably detect structural issues within the composite matrix well before they become catastrophic failure points.
There are different technical approaches to distributed stress and strain sensing using fiber optics. Optical time domain reflectometry (OTDR) is based on transmitting a pulse of laser light through the fiber and tracking the time at which the reflected signals are detected, thereby distinguishing the spatial location of the sensors. Although this technique works very well over great distances (kilometers), spatial resolution tends to be coarse. With this technique, achieving spatial resolution better than 1m is very challenging.
Distributed sensing techniques that employ fiber Bragg gratings (FBGs) have become a popular choice for integration with composites as they afford much higher resolution than time domain techniques and this translates into much more robust fault detection within the material. The basic idea is that multiple FBGs can be located along the length of an optical fiber, each acting as a discrete strain sensing point or location within the composite once the fiber is integrated into the material. The sensor is then interrogated with a spectrum of input light and the reflected FBG spectrum is measured and translated into strain. The problem with this approach is that one is never guaranteed that a failure in the material will occur close enough to an FBG location to allow for strain transfer and, thus, fault detection.
Rayleigh Scatter Sensing
A new technique called Rayleigh scatter sensing addresses this issue by allowing the entire length of integrated fiber to act as a sensor. Rayleigh scatter sensing uses a technique called optical frequency domain reflectometry (OFDR) to measure the distributed amplitude and phase of the Rayleigh scatter signature produced by standard optical fiber. This signature is very weak, reflecting less than one part per billion in optical probe power, but it is present in all optical fiber and forms an ideal sensing mechanism.
Similar to interrogating FBGs, the Rayleigh backscatter of a fiber creates a unique pattern that is measured by the instrument. Instead of a clear peak or set of peaks, however, the reflected amplitude, phase and spectrum of the scatter are random patterns from inherent variations in standard telecommunication fiber. Just as with an FBG, applied temperature or strain shifts the reflected spectrum of the scatter in the fiber at the location it is applied. Nominally, the shift in reflected spectrum in an FBG is found by measuring the shift in its spectral peak. Finding the frequency shift of the scatter spectrum is slightly more complicated as the spectrum is random. This is accomplished by performing a cross-correlation of the scatter spectrum from a measurement data set with that from a reference data set taken with the fiber under test in some nominal temperature or strain state.
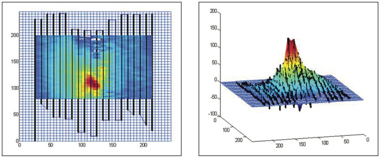
Both very large and very small strains can be detected with high precision by comparing the phase changes along the length of the fiber. Figure 3 shows strain data collected from a fiber zig-zag pattern integrated into a composite laminate (Figure 4). Strain data show delamination in the center of the composite article.
While there are many benefits that fiber sensors bring to structural monitoring of composite materials, they also present very specific challenges. From a material perspective, the use of fiber sensors often introduces another new material with which engineers, scientists and technicians often have limited experience. Installation of optical fiber such that the sensors are both robust and accurate requires training and know-how. While optical fiber itself, when handled and installed properly, is quite robust, ingress and egress points present a particular challenge when integrating optical fiber with composite structures. Improper treatment of these locations can lead to short sensor life. Finally, fiber sensors — in particular the new Rayleigh method highlighted here — produce large quantities of data. This causes not only a data management issue but presents a broader challenge of what types of decisions should be made based on what can potentially be “too much” data. Ultimately, of course, more of the right kind of data is only a good thing.
From a structural health monitoring perspective, optical fiber offers a unique opportunity in the deployment of smarter, lighter and stronger composite structures. Rayleigh sensing stands out among promising techniques due to extremely high resolution, large dynamic range, and lack of sensor placement issues. Furthermore, standard telecom grade optical fiber can be used, eliminating the need for expensive and difficult-to-manufacture specialty fibers.
This article was written by Brian Soller, Ph.D, Strategic Business Development; Daniel Peairs, Senior Research Engineer; Alex Sang, Project Research Engineer; Luna Innovations (Roanoke, VA); and Antonio Fernandez, Department of Aeronautics, Universidad Politecnica de Madrid (Madrid, Spain). For more information, contact Dr. Soller at

