A method of compensation for the polarization-dependent phase anisotropy of a metal reflector has been proposed. The essence of the method is to coat the reflector with multiple thin alternating layers of two dielectrics that have different indices of refraction, so as to introduce an opposing polarization- dependent phase anisotropy.
The anisotropy in question is a phenomenon that occurs in reflection of light at other than normal incidence: For a given plane wave having components polarized parallel (p) and perpendicular (s) to the plane of incidence, the phase of s-polarized reflected light differs from the phase p-polarized light by an amount that depends on the angle of incidence and the complex index of refraction of the metal. The magnitude of the phase difference is zero at zero angle of incidence (normal incidence) and increases with the angle of incidence.
This anisotropy is analogous to a phase anisotropy that occurs in propagation of light through a uniaxial dielectric crystal. In such a case, another uniaxial crystal that has the same orientation but opposite birefringence can be used to cancel the phase anisotropy. Although it would be difficult to prepare a birefringent material in a form suitable for application to the curved surface of a typical metal reflector in an optical instrument, it should be possible to effect the desired cancellation of phase anisotropy by exploiting the form birefringence of multiple thin dielectric layers. (The term “form birefringence” can be defined loosely as birefringence arising, in part, from a regular array of alternating subwavelength regions having different indices of refraction.)
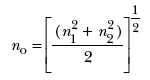
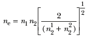
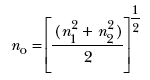
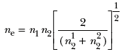
In the proposed method, one would coat a metal reflector with alternating dielectric layers having indices of refraction n1 and n2, and thicknesses d1 and d2, respectively. To obtain form birefringence, the thickness of each spatial period (d = d1+d2) must be much less than the shortest wavelength of light for which compensation is sought. For special case d1 = d2 = d/2 shown at the top of Figure 2, the resulting ordinary and extraordinary indices of refraction (no and ne, respectively) would be given by

and
.
The magnitude of the compensatory phase anisotropy would be proportional to the thickness of the compensator. In choosing the thickness, one must take into account that incident light would pass through the dielectric layers, be reflected from the mirror surface, then pass through the dielectric layers again and, hence, the phase accrual through the compensation layer must therefore be doubled before being added to the reflection phase.
The free design parameters for a given application would be the choice of constituent dielectric layers (with their indices of refraction and dispersion characteristics), the thickness of the compensator (equivalently, the number of spatial periods), and the relative thickness of each constituent layer. In a typical design optimization, one would adapt the parameters to the reflector at hand and seek to keep the phase deviation below some maximum allowable value across the range of angles of incidence for the field of view of the instrument of which the reflector is a part. To obtain compensation over a spectral band, it would be desirable to perform a wider optimization involving the bandwidth of the light and the dispersion characteristics of each dielectric layer.
The lower part of Figure 2 illustrates an example of compensation for the anisotropy of Figure 1 for monochromatic light. In this case a combination of no = 1.5, ne = 1.45, d1 = d2 = d/2, and an overall thickness of 0.5676 wavelengths was chosen to satisfy a requirement to keep the maximum phase anisotropy below 0.0075° at angles of incidence as large as 13°.
This work was done by John Hong of Caltech for NASA’s Jet Propulsion Laboratory. For further information, access the Technical Support Package (TSP) free on-line at www.techbriefs.com/tsp under the Physical Sciences category. NPO-40728
This Brief includes a Technical Support Package (TSP).

Compensation for Phase Anisotropy of a Metal Reflector
(reference NPO-40728) is currently available for download from the TSP library.
Don't have an account?
Overview
The document titled "Compensation for Phase Anisotropy of a Metal Reflector" (NPO-40728) from NASA's Jet Propulsion Laboratory addresses the significant issue of phase anisotropy that arises during the reflection of electromagnetic waves at dielectric-metal boundaries, particularly at oblique incidence angles. This phenomenon is particularly concerning for high-performance optical instruments, such as reflecting telescopes, where low focal ratios (F#) can lead to polarization-dependent amplitude and phase variations, known as phase apodization.
To mitigate these effects, the document describes an effective compensation technique that employs a structure of subwavelength layers of alternating dielectric materials. This configuration generates form birefringence, which can be finely tuned to counteract the phase apodization over a practical field of view. The technique serves a dual purpose: it not only compensates for the phase discrepancies but also protects the underlying metal coating from environmental damage.
The document outlines the parameters involved in designing a compensated structure, including the choice of dielectric materials, their refractive indices, and the thickness of the compensation layer. It emphasizes the importance of optimizing these parameters to minimize phase deviation across a range of incidence angles, which is crucial for maintaining isotropic performance in optical systems.
Figures included in the document illustrate the phase differences between s and p polarizations as a function of incidence angle, highlighting the effectiveness of the proposed compensation method. The results indicate that with proper design, effective compensation can be achieved up to an incidence angle of approximately 13 degrees, with a maximum phase deviation of only 0.0075 degrees within the field of view.
Overall, the document provides valuable insights into the challenges of polarization anisotropy in metal reflectors and presents a practical solution that can enhance the performance of optical instruments. The findings have broader implications for various applications in aerospace and other fields where precision optics are critical. The research underscores the importance of continued innovation in optical design to address the complexities of light behavior at dielectric-metal interfaces.

